复杂网络是指具有自组织、自相似、吸引子、小世界、无标度中部分或全部性质的网络。复杂网络的各类构件、模块等需要相互协调适应、形成和谐有序的组合并能适应需求、完成任务,进而实现协同。复杂网络的协同性研究揭示复杂网络协同性的非线性动力学机理,给出可协同性的数学刻画及判定准则,丰富非线性科学的数学理论;科学地指导协同策略的优化设计,更好地实现智能群体的同步与社会网络的有序健康发展。
该项目揭示了复杂网络协同性的动力学机理,构建了协同性判据并实现了机械化验证,给出了协同性优化的数学方法,设计了复杂网络协同性优化的高效算法并将其应用于典型实例,在理论、方法、算法、实现和应用等多个层面取得了丰硕的研究成果。项目共发表标注基金资助且与本项目直接相关的期刊论文130篇,其中基金标注前3的论文84篇,基金标注第1的论文18篇。
该项目在理论创新方面:
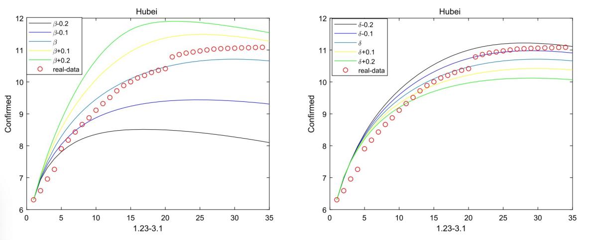
1. 复杂网络协同性的动力学机理分析:构建了基于度量指标和统计规律的复杂网络协同性动力学机理和针对COVID-19疫情的分数阶复杂网络传播模型(下图)

2. 复杂网络协同性的数学刻画与网络分解:利用代数簇理论和不变集思想对异质复杂网络协同状态进行了代数刻画,基于协同状态刻画将网络分解为多层简单子网络(下图)

该项目在方法创新方面:
1.复杂网络协同域内估计方法:建立了可迭代的、保守性更弱的计算协同域内估计的理论框架并实现了其机械化计算。
2. 复杂网络协同性的优化控制方法:建立了具有一系列非凸约束的异构多智能体的分布式优化控制方法。




3. 复杂网络优化的信赖域方法:对信赖域子问题,证明了局部非全局解的经典二阶充分条件是充要条件。
复杂网络协同控制在社会经济关键问题上的成功应用:1.成品油物流网络优化模型与算法;2.智能仓储系统优化模型与算法3.不确定和高需求下应急物资的调配;4.弹性供应链网络设计与优化(下图):


三个课题围绕同一主题开展科学研究,研究内容、方法和成果在多处展现出深度交叉融合关系。典型事例如下:课题一与课题二围绕协同域近似计算开展联合攻关,建立了可迭代内估计协同域的理论框架并进行了机械化实现。
该项目影响深远,广受好评。成果受到了国内外学者的广泛关注,被欧洲科公司院士、IEEE会士等国际顶尖学者正面引用并积极评价。项目成员获麒麟科学技术奖、中国仪器仪表学会技术发明奖、吴文俊计算机数学青年学者奖等奖项。